2. Sitzung 2010 am 10. Juni 2010
Unterlagen zur Sitzung
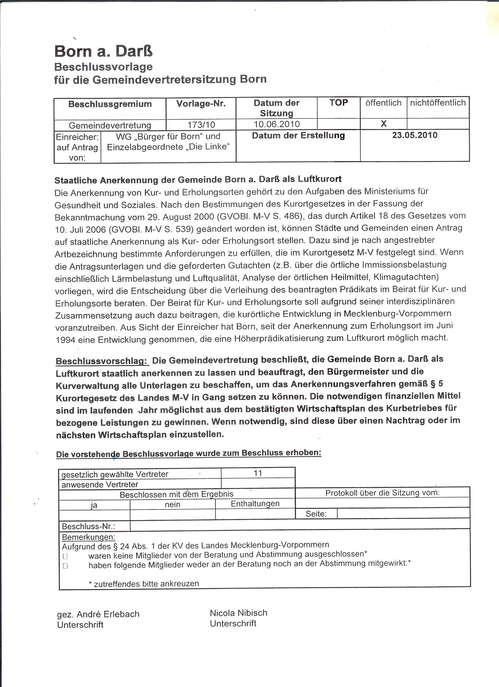
BV 173/10 Anerkennung Luftkurort
BV 174/10 Listenvorschlag Aufsichtsrat KuT
BV 175/10 Listenvorschlag Gesellschafterversammlung KuT
BV 176/10 Einvernehmen zu einem Beschluss der KuT-GV
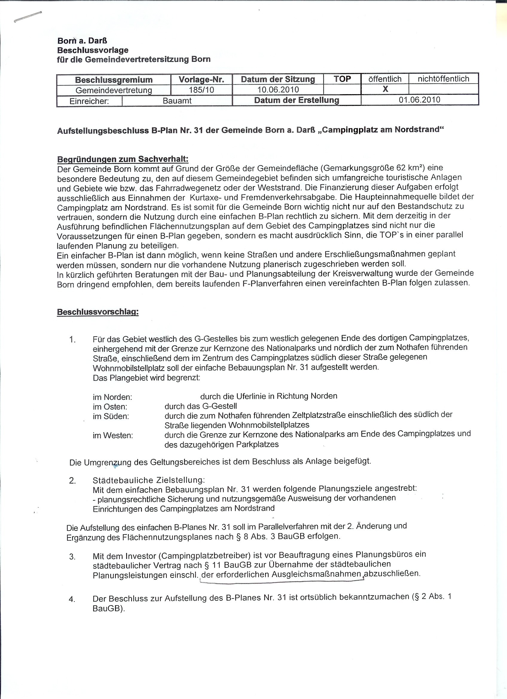
BV 185/10 Aufstellung B-Plan Nr.31 Campingplatz Nordstrand
Stellungnahme der Borner Alternative
Anwesende:
- 10 Gemeindevertreter, Herr Holtz (CDU) verhindert
- ca. 35 Borner Einwohner, Gäste aus Prerow und Wieck
- eine OZ-Reporterin
Zum Top 1 - Eröffnung
Der Bürgermeister verliest eine Erklärung in der dem anwesenden ehemaligen Kur und Tourist GmbH (KuT) Geschäftsführer, Herr Fischer aus Wieck Hausverbot erteilt wird. Als Begründung werden Herrn Fischer diffamierende Äußerungen und Handlungen gegenüber Borner Gemeindevertretern und Angestellten der Kurverwaltung aus dem April 2010 vorgeworfen. Außerdem weist der Bürgermeister daraufhin, dass Herr Fischer kein Bürger Borns ist. Dieser nimmt das Hausverbot nicht zur Kenntnis , woraufhin der Bürgermeister mit der Polizei (!) telefoniert, die kurze Zeit später eintrifft und Herrn Fischer hinaus begleitet.
Unser Standpunkt:
Die Borner Alternative hält diese Maßnahme für ungerechtfertigt und sieht hierin eine Verletzung des Öffentlichkeitgebots der Gemeindeversammlung. Die Anwesenheit von Herrn Fischer hat die Borner Gemeindevertreterversammlungen bis dahin nicht beeinträchtigt. Sein Verhalten außerhalb der Sitzung sollte keine Relevanz für seine Teilnahme an der Gemeindevertretersitzung haben.
Des weiteren ist die Begründung des Hausverbotes, es handle sich nicht um einen Borner Bürger, inakzeptabel. Weder die Kommunalverfassung noch die Geschäftsordnung differenzieren zwischen "allgemeiner Öffentlichkeit" und "ortsbezogener Öffentlichkeit". Es gibt nur die Öffentlichkeit und diese gewährt Jedem das Recht, die Sitzungen zu besuchen.
Zum Top 5 - Bericht des Bürgermeisters
Themen waren:
- der diesjährige Borner Markttag (29.5.) mit über 70 Händlern
- die nicht ganz zufriedenstellenden Auslastungszahlen zu Himmelfahrt und Pfingsten
- die Sandaufspülung an der Badestelle ist abgeschlossen
- die Reparatur der Boddenbrücken wird sich möglicherweise bis in das nächste Jahr hinziehen
- der Straßenbau an der L21:
- für die Querung durch Radfahrer und Wanderer an der Waldschenke ist eine Lösung in Vorbereitung
- für die Kreuzung am Einkaufsmarkt/Tankstelle/Kaufhaus wird nach einer Lösung gesucht, wobei auch ein Kreisverkehr noch nicht ganz ausgeschlossen wird - die Förderzusagen zur Sanierung der Chausseestraße liegen vor:
- von 2010 bis 2014 sind insgesamt 1.135.000 € zugesagt
- damit kann nun mit der Ausschreibung der Arbeiten begonnen werden
- das geplante Gesamtvolumen der Maßnahme beläuft sich auf 2,4 Mio €. - der Kaufvertrag über die Alte Oberförsterei wurde mit den von der Gemeindevertreterversammlung am 22.4.2010 geforderten Änderungen unterzeichnet. Das Grundstück geht am 1.7.2010 in den Besitz der Gemeinde über.
Zum Top 6 - Einwohnerfragestunde
Hier ging es vor allem um die Umgestaltung des Inneren der Fischerkirche. Auch wenn diese durch einen Beschluss des Gemeindekirchenrates rechtmäßig ist, trifft sie bei vielen Borner Bürgern auf Unverständnis. Es wurde mehrfach die Forderung formuliert, den Dialog über die Gestalung der Wand hinter dem Altar wieder aufzunehmen.
Zum Top 7 Antrag auf staaliche Anerkennung Borns als Luftkurort
Die Borner Alternative hatte diese Perspektive für die touristische Entwicklung Borns bereits in ihrer Gründungsversammlung favorisiert und unterstützt diesen Antrag.
Zum Top 8+9 Listenvorschlag zur Wahl der Borner Vertreter im Aufsichtsrat und in der Gesellschafterversammlung der KuT
Vorbemerkung
Die Borner Alternative hat sich wiederholt und ausführlich mit diesem Thema im Vorfeld auseinandergesetzt.
Sie hält für eine zukünftige effiziente Kooperation der Darßgemeinden ein organisatorisches Dach, wie es die bestehende Kur- und Tourist-GmbH Darß bieten könnte, für unverzichtbar. Natürlich müsste der Gesellschaftsvertrag neu gefasst und die genaue Ausrichtung neu formuliert werden. Schließlich sind inzwischen Fakten geschaffen worden – z.B. die Gründung der Kurverwaltung Born – welche die Ausgangsposition der Gesellschafter verändern. Außerdem sollte eine zukunftsträchtige Darß-Gesellschaft so beschaffen sein, dass auch Prerow sich dort einbringen kann und ebenso von dieser profitiert.
Es mag utopisch klingen, die bestehende, durch Kündigung, langjährige Konflikte und Misstrauen gelähmte Kur- und Tourist-GmbH Darß reaktivieren zu wollen. Aber es liegt auf der Hand, dass die Darßgemeinden eine gemeinsame Organisation benötigen, um ihre Aktivitäten zu koordinieren. Warum also heute eine bestehende Gesellschaft zerschlagen (was mit Kosten verbunden ist) um in absehbarer Zeit eine neue Organisation zu Gründen (was auch Kosten verursacht)?
Ein weiteres schwergewichtiges Argument des Fortbestehens der KuT GmbH mit Borner Beteiligung findet sich in der anstehenden Kreisgebietsreform: Zusammenlegung statt Kleinteiligkeit heißt die Devise in der Verwaltung. Statt darauf zu warten, dass den Darßgemeinden "von oben" Organisationsformen verordnet werden, wäre es doch sehr viel sinnvoller, eigenständig und rechtzeitig passende Organisationsformen zu finden. Und hierfür bietet die KuT GmbH alle Möglichkeiten. Weitsichtige und auf das Darß-Gemeinwohl bedachte Kommunalpolitiker können diese Chance nicht leichtfertig vergeben.
Die durch die Gemeindevertretung zu beschließende Besetzung der Gremien hat folgenden Hintergrund:
Born hat Ende 2006 die Mitgliedschaft in der Kur- und Tourist GmbH Darß gekündigt.
Die Gründe für die Borner Kündigung werden an dieser Stelle nicht weiter betrachtet - hierzu ist eine eigene Aufarbeitung in Vorbereitung.
Die Kündigung wurde durch Born zwar vertragsgemäß initiiert, der Kündigungvorgang konnte aber bis heute nicht abgeschlossen werden, da die vorgeschriebene Bedingung "Abtreten von Gesellschaftsanteilen" und "Abfindungsentgeld" wegen gegensätzlicher Ansichten der Gesellschafter nicht geregelt werden konnten. Dadurch ist Born auch heute noch Gesellschafter der GmbH.
Ein rechtsgültiges Handeln der GmbH war seit der Kündigung nicht möglich, da Born weder in der Gesellschafterversammlung noch im Aufsichtsrat vertreten war.
Die anstehende Wahl stellt dieHandlungsfähigkeit der GmbH-Gremien wieder her. Gleichzeitig wird damit die Fortsetzung der Borner Kündigung ermöglicht.Unsere Vorgespräche mit den zur Wahl stehenden Kandidaten lassen unzweifelhaft erwarten, dass bei allen außer der Borner Alternative der feste Wille besteht, die Kündigung umzusetzen.
Vor diesem Hintergrund war es für die Borner Alternative fraglich, ob sie überhaupt aktiv in den Gremien der GmbH mitwirken sollte, wenn diese nur noch den Austritt Borns zu Ziel haben. Eine Option war, überhaupt keinen Kandidaten für die Gesellschafterversammlung zu benennen, um so öffentlich deutlich zu machen, dass wir am Austritt Borns nicht mitwirken wollen. Nach langer Diskussion und einem Gespräch mit dem Bürgermeister fiel die Entscheidung dennoch zugunsten dieser Mitarbeit aus. Ausschlaggebend war am Ende die Überlegung, dass wir nur so dazu beitragen können, möglichst viel des Konfliktpotentials zwischen den Gesellschaftern, also den Gemeinden Born und Wieck, abzubauen. Nur so erlangen wir einen unmittelbaren Einblick in den Stand der Auseinandersetzungen und haben wir die Möglichkeit, unseren Standpunkt in dem entscheidenden Gremium der GmbH vorzutragen.
Wir wollen alle realistische Möglichkeiten zu nutzen, um das Ende der Borner Mitgliedschaft zu verhindern. Auch wenn diese Möglichkeiten lediglich in einer argumentativen Kraft bestehen, bleibt die Hoffnung, dass nach einer Klärung der Gesellschaftsanteile es Chancen des Umdenkens gibt und anschließend auf neuer Grundlage den Betrieb der KuT GmbH zum Wohle der Darßgemeinden fortzusetzen und die Kündigung nicht zu finalisieren.
In Abstimmung mit der CDU, die Herrn Holtz als Aufsichtsratmitglied vorschlugen, stellte sich A. Kiefer zur Wahl in die Gesellschafterversammlung.
Alle vorgeschlagenen Kandidaten wurden gewählt.
zum Top 10 – Erklärung des Einvernehmens zu einem Beschluss in der Gesellschafterversammlung der KuT.
In logischer Konseqenz der zu Top 8 und 9 angestellten Überlegungen stimmt die Borner Alternative diesem Beschluss zu, weil er dazu dient, die Handlungsfähigkeit der GmbH zu erhalten.
